科学家已经成功找到新方法,可以合成出超长且稳定的1D碳链,其强度比纳米碳管(Carbon Nanotube)强两倍,比钻石强很多。
碳元素非常灵活,一直以来科学家都在制作新的碳同素异形体,诉求耐用且多功能的材料,像是大家最爱的材料:石墨烯(Graphene)。
碳族是非常有潜力的元素,不过,即使已经发展出不少碳材料,卡拜(carbyne, 亦有译作“碳炔”、“线型碳”)还是令人难以捉摸。科学家研究了50年,还是无法合成出卡拜,这是科学家唯一无法合成出的型态。
其中一个原因是卡拜极其不稳定,Adolf von Baeyer 在 1885 年首度发现这个一维碳链,当时他说卡拜的反应性很高导致形成后马上就崩解,是个难以捉摸的材料。
理论上,卡拜的力学特性超过所有已知材料,比石墨烯硬两倍,比钻石硬40倍,抗拉强度比其他碳材料都还高。因为这些特性,所以大家都试着想做出稳定的卡拜。
现在,有一个国际研究小队找到了可以大量生产卡拜的方法。
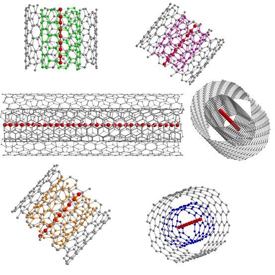
他们将两层石墨烯压在一起,接着捲成薄薄的双层碳纳米管。再用纳米管包覆原子,保护碳链不崩解。这项研究发表在自然材料期刊中。
来源:维也纳大学物理学院 Lei Shi
在这项发现之前的碳链最高纪录是100个原子,这个新方法打破了这项纪录,创下高达6400个原子的最新纪录,而且这个碳链能保持在稳定状态。
此外,卡拜的链越长,其电气特性会随着增加,因此研究人员可以更成功有效地研究此纳米管。卡拜的可应用范围非常广,在这个神奇材料推出后,究竟会出现哪些新产品呢?让我们一起来期待。
来源:Futurism

!评论内容需包含中文