
文:陆远熙|医学科普作者
于2008年开播的美剧《绝命毒师》,在引发全球范围的收视热潮的同时,也给不少“剧迷”留下了极其深刻的印象,这一方面是因为该剧所讲述的“普通人因生活所迫而走上犯罪之路”的故事容易引起深刻共鸣,也和剧中对于原本并不受普通人注意的“私人制毒作坊”的细致描写不无关系。不过,相信有些人在被该剧所折服的同时,内心之中也会有着小小的疑问:在电视剧中时常出现的一个情景——对化学有一定了解的人,能够在简单搜集材料之后,于家中轻易制出毒品,这样的故事在现实中能否上演呢?
实际上,这个问题绝不能一概而论,因为不同的毒品,其制造难度和对生产环境的要求各不相同。有些毒品确实可以做到凭借常见原料和简单反应制得,但相当一部分毒品的制造,离不开复杂、繁琐的植物种植和原料加工,个人制作并不现实。
那红色的海洋,却身背数重罪?
众所周知,作为一种有名的观赏植物,虞美人在诸多国家都受到了民众的广泛欢迎。然而,虞美人的几种同样姿色艳丽的“近亲”,可就没那么美好了,例如罂粟。事实上,全球范围内几乎所有的罂粟种植,都是为了提取其中含有的阿片类生物碱,而无论是制作止痛良药还是害人的毒品,我们在短时间内都难以摆脱罂粟的依赖。
阿片类生物碱的作用,早在很久很久以前便已被人们察觉,然而它发展成毒品,倒只是近现代的事。这类物质通过“打开”遍布神经系统的特殊的“锁”(即阿片受体),来发挥包括镇痛、镇静、止泻在内的生理效应。不过,它们在发挥有益效应的同时,也难免展露出其“恶魔”的一面——阿片类生物碱会刺激神经系统产生欣快感(也就是俗称的“High”),以使人们不断服用这类物质,而长期服用它们的最终结果,则是产生心理和身体的双重依赖。
早在20世纪,世界各国便意识到了各种阿片类生物碱(例如吗啡、海洛因)不当使用对人体的巨大危害,此类物质也随即被列入管制范围。当然,法律层面上的管制,自然抵挡不住为了巨大利益铤而走险的“亡命之徒”,全球范围内非法的阿片类生物碱生产一直具有相当可观的规模,但从技术角度来说,生产这类毒品,无疑是一项“烧钱”的“买卖”。

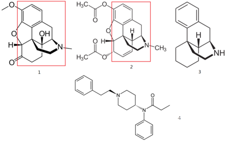
三种常见的阿片类毒品(1-羟考酮,2-海洛因,4-芬太尼),以及吗啡烷基团(3)的结构(图:Wikipedia)
我们不妨先来看一下目前最为流行的几种阿片类毒品的化学结构,两种经典的阿片类毒品——海洛因和羟考酮,结构之中均含有红框所示的一个复杂基团(化学之中一类具有典型特征的分子团)吗啡烷(结构见3),而不幸的是,目前的化学水平仍很难将吗啡烷合成出来,因此生产含有此类基团的物质,只能以天然含有该基团的物质(如吗啡)为基础进行合成。
这样一来,我们便不难发现一点:毒贩若想制造海洛因等毒品,只能先种植罂粟,再考虑进一步的合成问题。然而,由于罂粟科植物大多具有耀眼的红花,除非毒贩能够在人迹罕至、管理松懈的地方种植,否则这简直是在向缉毒警察示威…….
不过,这一问题也并非绝对。芬太尼类物质(一种阿片类药物,常用于全身麻醉)在最近即成为了北美和欧洲“地下制毒作坊”的“宠儿”,这可能是因为,芬太尼类物质可以完全通过有机合成手段来制得,其生产过程不需要任何复杂的原材料,被警方发现的难度也更高。当然,实话说,凭一己之力制作芬太尼,无疑是一项“烧脑运动”,这也往往需要制毒者有着极其丰富的化学知识,并接受过有机合成相关的专业教育,一般只有在名牌大学之中读到研究生阶段的人才能做到。(所以谁说制毒贩毒不需要智商?明明搞这个的都是天才!)
迷幻世界与感冒药:风马牛不相及却又紧密相连
在我国,诸多感冒药目前已经采取了限制销售的措施(包括凭处方购买、设置单次购买限量,甚至于登记购买者姓名),而在“感冒药限令”刚推出之时,相当一部分人还十分不了解国家对感冒药实施限购的原因,由此造成的各种误解一时间甚嚣尘上。实际上,这些被限购的感冒药,无一例外均含有伪麻黄碱,而鲜有人知的是,伪麻黄碱是制造苯丙胺类毒品的重要材料,《绝命毒师》主角在家中的毒品作坊,很可能就是靠着堆积如山的各类感冒药才得以运转的。

苯丙胺类毒品甲基苯丙胺(俗称“冰毒”,图1)和MDMA(俗称“摇头丸”,图2)的结构与伪麻黄碱(图3)极其相似,因此拿伪麻黄碱生产这两种毒品并不困难(图:Wikipedia)
相信绝大多数人对“冰毒”(即甲基苯丙胺)和“摇头丸”(即亚甲二氧基甲基苯丙胺,MDMA)这两种毒品并不陌生,因为如今在很多国家,这两种毒品在黑市上均十分常见,而且它们往往更受年轻人“欢迎”,造成的危害也更大。在前面提到的美剧《绝命毒师》之中,男主角沃尔特·怀特第一次尝试制造的毒品,正是甲基苯丙胺。
而从上面给出的结构式中,我们不难察觉一点——无论是甲基苯丙胺还是MDMA,它们的结构均不复杂,即使制毒者手中并没有任何稍稍复杂一点的前体物质(也就是和待合成物质结构相似,仅仅通过一系列化学手段即可转化成待合成物质的化学物质),通过有机合成来制得是完全有可能的。
更加要命的是,伪麻黄碱这种常用于减轻鼻塞的药物,恰恰就是苯丙胺类毒品的前体物质!制毒者一旦通过感冒药提取到纯度较高的伪麻黄碱,只需要经过几部十分简单的“傻瓜级”化学反应,就可以轻易制出大量的此类毒品。当然,毒贩若想制造足以出售的剂量的苯丙胺类毒品,估计买下的感冒药可以堆满一个房间了。
鉴于苯丙胺类毒品容易合成的特点,各国目前都大幅加强了针对伪麻黄碱和其他易制毒材料的管制,我国对感冒药的限购,也实属此类制毒案例频发的背景之下(搜索一下“感冒药毒品”,这样的案件在近些年并不少见,尤其是在“感冒药限令”之前更是猖獗),公安部门做出的无奈之举。
升腾的烟雾背后,是电费在燃烧
在看了前面针对两种毒品的介绍之后,你是否觉得制毒也绝非一件容易的事?但是,正如其他行业一样,制毒这种见不得光的勾当,也分为三六九等。而其中较为“傻瓜”的一种,倒不需要有着多丰富的专业知识,只要…….能交得起流水一般消逝的电费就好。这并不是段子,“电费在燃烧”这句话,说的正是大麻这种毒品制造的典型特点。
大麻中的有效物质Δ-9-四氢大麻酚(THC,图1),就是一种典型的大麻酚(图2)类化合物,如此复杂的结构也决定了,人工合成THC非常困难(图:Wikipedia)
在探讨大麻生产的问题之前,我们先来看一下上图所示的THC结构式。作为大麻之中最重要的成分之一,THC几乎“一手包办”了吸食大麻后带来的生理反应,因此对于制毒者而言,制造THC无疑就彻底制造出了大麻。然而,THC所基于的大麻酚结构实在是太过复杂,非法化学作坊目前全合成它们的难度依然非常大(但是制药企业还是研究出了全合成THC的方法)。
因此,全球范围内所有的非法THC,无一例外都是从大麻之中提取出来的。(当然有一种情况例外,一些国家目前正流行一种“合成大麻”,该产品为喷洒上了合成大麻素类化合物(一类能够模拟THC作用、但可以人工合成的化学物质)的普通干草)
既然提取THC需要大麻,那么种植大麻无疑成为了最重要的环节。相比于前面提到过的罂粟,大麻的一个“好处”就在于,这种植物完全可以在房间之内种植,而不需要种在大面积的开阔土壤上。不过,大麻虽然对种植地点并不挑剔,却有一个“怪癖”:需要光照!所以在房间之内种植大麻,通常需要大量的灯具来为其提供足以支撑生长的光,而如此强的照明,自然也会需要大量的电费,毫不夸张的说,种植大麻的过程,纯粹就是“电费在燃烧”。
基于这一点,有经验的缉毒警察在排查可疑的大麻种植窝点之时,往往会先对房间的电费数据进行统计分析,一旦出现了一个消耗了可观电费、但几乎无人居住的房间,即可有很大把握认为,房间内是在种植大麻。

!评论内容需包含中文