
昨天,我们已经谈到运动是相对的,以及相对运动是如何影响我们对空间和时间的测量。我们结束了物理学中的一个非常重要的方面:时间和空间不是绝对的,而是取决于观测者的参考系。上次,我们了解到了空间和时间如何受到运动的影响。今天,我们来一起了解下当引力介入时会怎样。
在我们的日常生活中,地球的引力拉着我们并把我们束缚在其表面。我们把引力认为是作用于我们及周围一切的一种力。但引力表现出非常不同于其他力。假设用同样的力推一个网球和保龄球,网球会快得多,因为它的质量较小。然而,如果在同样高度把网球和保龄球扔下,它们会以完全相同的速度下落(不考虑空气阻力)。引力作用在这两个球之上的效果与它们的质量无关。
事实上,在引力作用下,任何物体都是以同样的方式下落,此即为等效原理。因此,自由落体的感觉就像没有重力。这就是为什么国际空间站的宇航员似乎是漂浮着的,但事实上是他们以及空间站在环绕地球运动时处于自由落体运动。

自由落体的人感受不到重力
根据广义相对论,在引力下的自由落体和失重的感觉是一样的,因为这都是相同的。这个想法似乎很荒谬,因为我们可以看到空间站绕地球飞行,因此肯定有力拉着它。但要知道,时间和空间都不是绝对的。
宇航员不会感到任何力量,他们的看法和我们一样有道理。解决这一悖论的方法是要认识到时间和空间实际上被地球的质量所扭曲。这种扭曲的时空意味着空间站的路径是弯曲的,这样看起来就像有个无形的力在拉着它。
由于这种空间和时间的扭曲,地球上的时间会略微不同于空间站上的时间。但这种差异非常小,小到如果让地球上的一个时钟走十亿年,被地球质量所扭曲的时间仅会被放慢大约一秒钟的时间。这种差异只有当你进行精确测量时才会成为问题,比如当你使用手机中的GPS来寻找最近的咖啡店。
而对于与更大质量的物体而言,这种差异会变得很显著。举个例子,考虑一个黑洞的极端例子。如果你掉进一个黑洞,需要多长时间到达事件视界呢?当然,这取决于你的立场。

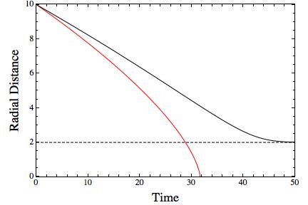
在上图中,我们以到黑洞的径向距离作为时间的函数来作出关系图。红线是一个人落入黑洞的时间曲线。黑线是外部观测者从安全距离观看一个人落入黑洞的时间曲线。
你可以看到有趣的事情发生了。对于落入黑洞的人而言,他将在30单位时间时到达事件视界(图中虚线所示)。但从外部的观测者看来,这个人从未到达事件视界,而是他以越来越慢的速度接近视界。外部观测者认为这位落入黑洞的人会越来越慢,因为随着接近黑洞时空扭曲的程度越来越大。正在下落的那个人并不会感觉到时间放慢,所以他会在有限时间内到达黑洞的事件视界。

当然一旦这个人穿过视界,他永远也无法离开黑洞。时间和空间在视界之处变得极度扭曲,以至于落入其中的任何东西都会被困在其中,包括光在内。
所以此时光会出现怎样的情况?外部观测者和自由下落的人仍然会测到相同的光速,但观测时间的差异意味着他们会看到不同颜色的光。关于引力改变光的颜色可以参见我们之前的文章《引力能改变光线的颜色吗?》

!评论内容需包含中文