我们在提到金属对不同波长电磁波具备不同特性。其最根本的原因是每个材料的 n+ iκ 会随波长变化,它并不是个定值,随波长变化的折射率正是世界如此多彩的原因。

图1 (a)银的折射率(n,k)及反射R对波长的关系图(UV至红外光) (b)银的折射率(n,k)在更长波段红外光的行为 (c)无线电波对银之反射(R)
图1是银在不同波长的折射率变化,1(a)的波长范围为0.1nm至2000nm,四个区块由左到右分别是:X 光、紫外光、可见光及红外光。
在 X 光波段(波长 1 到 10nm),n 接近 1、κ 接近 0;因此 X 光打到金属上几乎不反射,且因为 κ 接近 0 所以会穿透整个材料,对 X 光来说银就跟玻璃一样,此行为即为图2(a)。
当波长慢慢变长从X-光开始接近 130nm 左右时,反射 R 迅速从接近 0 冲到接近 1,波长 130nm 附近的区间光会一部分反射,一部分进到金属后逐渐被吸收。从折射率放大图可以看到,随着波长增加,n 逐渐从 1 下降、κ 在 130nm 迅速升高,当 n 及 κ 都跟 1 有一点差距,κ 又开始上升的当下,就会产生如图2(b)的结果,部分反射,部分进到材料内部被吸收。
经过了 130nm 这个特殊波长后(稍后我们会解释这个现象),可见光到红外光就是我们熟悉的金属,因为κ越来越大,导致反射 R 也越来越大。可见光及红外光波段的反射率大约在 98%-99% 之间,基本上光打到金属上会有 1% 损失,如图2(c)。
图3(b)及(c)为当波长越来越长到无线电波时的状况,由于 n 及 k 随波长增加不断上升,反射率也从可见光的 9%,不断逼近 100%。到波长 1m 的无线电波波段,反射率已经大于 99.8%,类比于图2(d),这样的低损耗使金属[註1]在无线电波段可作为天线之用。

图2

图3
●为什么?
金属的电子组成跟其他材料不同,自由电子不受原子核束缚,就像原子核浸在电子海中,这些电子海会有特定的震荡频率(波长),称为电浆频率(plasma frequency)。这里的电浆频率并不是指金属像游离气体一样呈现电浆态,而是这些自由电子的集体震荡行为跟游离气体形成的电浆态的震荡行为类似。
著名物理学家,理查费曼(Richard Feynman)在费曼物理学讲义<电磁与物质 II>卷7曾说:自然界中电浆的震荡具备许多有趣现象,例如:如果有人想要发射一道电磁波穿越这些电浆,只有电磁波频率大于电浆频率才有机会穿透,否则电磁波会被反弹回来。
将电磁波打向金属,就跟把电磁波讯号往天上打入电离层一样,如果电磁波频率够高(波长够短),就能穿透材料。以本文所举的金属例子银,其电浆频率约为 137nm (2180THz),也就是说波长短于 137nm 的紫外光及 X 光对银来说为高频,可以直接穿透。波长短于137nm的可见光、红外光及无线电波皆为低频电磁波打在材料上大部分会反射。而波长 137nm 正是图1(a)中银的 n 及 κ 发生显着变化的地方。
大部分金属的电浆频率都在紫外光的区域,例如:铝为 82.78nm(3624THz)、铜为 114.5nm(2620THz)、金为 137.32nm(2185THx)。
回答本文的问题:金属之所以看起来是金属便是因为其具有电浆频率,电浆频率决定了金属在人眼所见可见光的样貌,且因为大部分金属的电浆频率都在紫外光,所以可见光波段的金属的外观都差不多(话虽如此,其他性质例如导电度、导热度或延展性等不同金属还是相差很多)。但在人眼看不见的电磁波区段,金属跟我们想像的其实很不一样。
到这里,定性的描述算是讲完了,接下来一小部分是这些现象的理论基础。
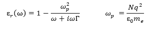
上述这一套描述称为 Drude Model (德汝德模型),本文虽然用折射率 n+ik 来描述金属行为,但物理上更多人习惯用电容率 ɛr (relative permittivity。两者关系为:
, ɛr 同样也是个复数

ω为频率,也就是 c=f*λ 中的 f,两者完全一样
ɛr(ω)代表 ɛr 会随 ω 变化,为 ω 的函数
ωp是电浆频率(plasma frequency),银约为 137nm(2180THz)
ωp跟电荷密度(N)成正比,q 为 1.6*10-19(C)、ɛ0 为真空电导率、me 为电子质量。
Γ为损耗(damping),损耗越大会让电浆频率附近的吸收带变宽,但无法在这短短的文章中说清楚。
简单来说,知道电浆频率(ωp)及损耗(Γ),便可以预测金属的折射率,当然也可以算出不同波长电磁波遇到金属时的反应。除此之外 Drude Model 预测的不仅仅是光学性质,还有金属导电能力(σ,conductivity)及电磁波能穿到金属多深的位置(skin depth)。但这已经超出本文的范围了。
[註1] 适用于天线的原因还包括长波长时较佳的导电率及极浅的skin depth
参考资料:
《21st Century Electromagnetics: Lecture 2 -- Lorentz and Drude models》The University of Texas at El Paso
The Feynman Lectures on Physics, Volume II, Ch.7 The Electric Field in Various Circumstances (Continued)

!评论内容需包含中文