●白色谎言?
“爱因斯坦(Albert Einstein, 1879-1955)二十六岁时发表了一篇名为〈狭义相对论〉的论文,借着‘如果我以光速飞行’这个想象实验,导出四维时空的结构,以及……”
如果你觉得上面这句话很有道理,那么从现在起,请时时提醒自己:在科普文献中,这种似是而非的科学史相当常见!
至于真实历史究竟如何,稍后自会仔细讨论,让我们先谈谈那些虚假的历史是怎么来的。
以讹传讹当然是原因之一,可是请注意,最初的源头却不一定是无心之失,换言之,刻意杜撰的可能性也很大。然而,如果你质问那些作者为何要窜改历史,他们八成会回答情非得已。
因为有些真实历史太过复杂,如果照实叙述,恐怕会喧宾夺主,让科普文章变了调(例如变得像科学史论文)。但如果完全不提相关历史,又实在说不过去,因为故事和例子都是科普文章不可或缺的要素。
于是这些作者决定便宜行事,他们发挥高超的想象力,编造一个简单明了的故事,以便尽快进入正题。反正只要科学部分正确无误,他们就认为并没有愧对读者。
正因为如此,有不少关于爱因斯坦或相对论的文章,都声称狭义相对论的出发点是爱氏假想自己御光飞行。
事实上,根据可靠的史料,爱氏早在十六岁就在脑海中进行过这个实验,而他提出狭义相对论则是在十年后。更重要的是,在那篇发表于1905年九月的论文中,只字未提这个历史悠久的想象实验,只不过很少有科普文章会指出这一点。
此外也鲜有作者会特别强调,那篇论文的题目其实是〈论运动物体的电动力学〉。因为多一事不如少一事,否则读者一定会追问,这个题目到底和狭义相对论有什么关系?
其实关系非常简单,当年爱氏是以一个电磁学问题,作为探讨狭义相对论的切入点。
(图像素材来源:维基百科)
上面这两张图描述的实验几乎完全一样,都是线圈和磁铁的相对运动导致线圈带电,差别仅在于“你动还是我动”。如果是磁铁左右移动,那就是标准的电磁感应实验(变动的磁场生电场)。但如果磁铁静止(因此没有变动的磁场),改为线圈来回移动,虽然仍会导致线圈中产生电流,可是就当时的物理学而言,这个电流和电磁感应毫无关系,而是源自完全不同的另一种机制(运动的电荷会受到磁力推挤)。
换言之,在当时的物理学家看来,这两张图描述的竟然是完全不同的物理现象!
为什么会有这种吊诡?追根究柢,这是因为马克士威方程组虽然万分成功(请参考〈光学终结者〉),但严格说来那只是数学部分,物理部分仍然藏有错误观点。
如果我们把马克士威的电磁理论比喻为舞台剧,除了电荷、电流、电场、磁场这些“演员”之外,当然还少不了“舞台”,那就是鼎鼎有名(或曰恶名昭彰)的以太(ether)。由于舞台静止不动,因此“运动”与“静止”具有绝对的意义。在这个观点下,上述两个实验当然不能视为等价。
但是爱因斯坦可不这么想,他坚决相信两者没有本质上的差异。因此狭义相对论的目的之一,就是要“证明”以太并不存在。一旦否定了以太,运动和静止便失去了绝对性,只剩下相对运动有意义,上述两种实验就能完全等价了。
至于爱氏是如何否定以太的存在,等说完了故事,我们再做个交代。
1905年左右的爱因斯坦与闵考斯基(图像来源:维基百科)
●名师高徒?
“任何实体都必然能向四个方向延伸,因为它一定具有长、宽、高以及时段。但是,由于自身的限制,我们经常会忽略这个事实。四维结构确实存在,其中三个我们称之为三度空间,而第四维则是时间。然而,我们很容易误以为前三个维度和后者截然不同,因为从生到死,我们的意识一律沿着时间往前走。”
千万别以为上面这段话摘自〈论运动物体的电动力学〉,事实上,它的作者甚至不是爱因斯坦,也并非任何一位物理学家。
正确答案是,这段话出自十九世纪末的科幻名著《时光机》,作者是拥有科幻之父美誉的英国作家威尔斯(H.G. Wells, 1866-1946)。
而且信不信由你,这类题材在十九世纪文学作品中并不罕见!既然文学家都对四维时空有这种见识,科学家当然更不用说了。举例而言,在爱氏发表狭义相对论前夕,法国数学家庞氏(Henri Poincaré, 1854-1912)已抢先提出“四维向量”的概念,例如“四维速度”与“四维力”。
耐人寻味的是,爱氏原本对这种四维结构兴趣缺缺,他在1905年发表的那篇论文中,完全没有提到“时间和空间结合成四维时空”之类的概念。
直到三年后,严密的四维时空几何才由另一位数学家闵考斯基(Hermann Minkowski, 1864-1909)建构出来。爱氏起初还认为那是无聊的数学游戏,后来才惊觉这种几何妙用无穷,摇身一变成为最坚定的支持者。
或许你听说过闵氏与爱氏曾经有师生关系,不过“名师出高徒”这种老生常谈在此完全不适用。爱氏在瑞士读大学时,虽然的确修过闵氏的数学课,但是出席率不高,而闵氏对这个学生也没什么好印象,这都是有史可考的事实。
总之就科学史而言,这对师生最重要的关联,就是闵氏曾用严谨的四维几何语言,重写狭义相对论的物理内容,而爱氏后来领悟到这种数学语言的重要性,才得以将狭义相对论(对应“平直的四维时空”)推广为广义相对论(对应“弯曲的四维时空”)。
在四维时空架构下,许多原本是三维的物理量,都能顺理成章和另一个量结合成四维向量,例如三维动量和能量结合成四维动量,三维速度和光速结合成四维速度。不过如前所述,这并不算闵氏的原创,只能说他是用自己的方法,重新导出庞氏的结果。
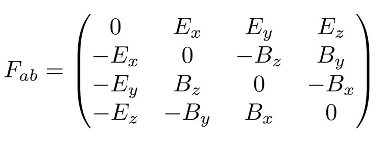
闵氏真正的原创性贡献,是他发现电场和磁场虽然不能如法炮制(三维电场无法推广成四维电场,同理磁场也一样),但如果将电场和磁场巧妙结合在一起,便能同时为两者在四维时空里找到定位。
所谓的巧妙结合,是将电场和磁场的分量排成如下的4x4方阵──正式名称是“电磁(场)张量”,但我们不妨称之为“电磁方阵”,听起来比较平易近人。
由电场以及磁场的三个分量组成的电磁方阵
(通常记为F以纪念法拉第;两个下标分别对应列与行)
电场与磁场结合成方阵后,物理层次上的电磁统一才算真正完成。换句话说,物理学家这时终于明白“电磁方阵”才是完整的物理实体,电场和磁场都只是它的一部分而已。正如长鼻子和大耳朵都是大象的一部分,绝不可能单独存活;如果有只大象突然出现在你面前,你第一眼没看到象鼻子,换个角度一定就能看到。
虽然“姜是老的辣”也是陈腔滥调,用在这里倒是似乎很贴切。
附录:狭义相对论的基石
牛顿的传世之作《自然哲学的数学原理》其实可以算是一本数学著作,它模仿欧几里得撰写《(几何)原本》的方式,以三大运动定律作为公理,然后利用数学一步步推出牛顿力学的整个架构。
在发展狭义相对论的过程中,爱因斯坦延续这个优良传统,整个理论(包括上述的“以太不存在”)都奠基在两个公理之上。
一、真空光速恒定:不论光源或观测者如何运动,只要是在真空中,测得的光速都是固定值(大约每秒30万公里)。这个公理虽然非常违背直觉,但在当时已有扎实的实验证据当作后盾。
二、相对性原理:假设有两个观测者,一个静止,另一个做等速度运动,那么两人观测到的物理现象或许不尽相同,但若归纳成物理定律,则会发现(数学公式)完全一样。
例如一个人站在地面,另一人搭乘透明电梯,两人同时看到有个物体坠落地面。他们测得的坠落速度虽然不同,但是对两人而言,描述这个落体的物理定律都是牛顿第二运动定律(F=ma)。
下面则是反例:假设观测者之一静止,另一个做加速度运动(例如置身刚起动的电梯里),两人若将观测到的落体现象写成数学公式,便会发现有所不同。加速度的观测者会觉得另有一个无形的力量(所谓的惯性力),因此他写出的公式(F+f=ma)会多出一项来描述这个惯性力。
狭义相对论之所以冠上“狭义”二字,正是因为这个公理仅在特定条件下成立。后来爱氏花了十年时间,才终于将它推广成无条件成立(所谓的“广义相对性原理”),从而发展出广义相对论。

!评论内容需包含中文