■非金属材料的外观形形色色,各有不同;但金属除了铜和金外看起来都差不多:亮面、反射不透光、可以导电。这是为什么?X 光或无线电波看到的金属也这样吗?
人类眼中的金属印象受限于人眼只能接收可见光,在别于可见光的电磁波段金属具有不同性质。本系列将介绍金属在不同情况下的有趣行为及成因。
要了解这些行为前,必须先对电磁波有基本的认识。电磁波与其他波动一样遵守 v=f×λ,频率f乘以波长λ即为光速。根据各领域需求不同,有人习惯用波长描述电磁波,有人习惯用频率,本文将以波长为主,波长越短(频率越高)的电磁波代表能量越大。图1 为电磁波频谱,可见光波长大约在 400nm 到 700nm 左右;用于医疗的 x 光波长约在 0.1 到10nm;至于收听广播用的无线电波波长落在 1m-1000m,相对于可见光,无线电波波长长、频率低且能量小。本文将介绍不同波长遇到金属的反应,若在阅读时迷失在波长中,可以再回头看看图1。

图 1 电磁波频谱 (图片来源:wiki)
●电磁波打在金属上的反应
在一般情况,当光(即电磁波)打到一个材料上,例如太阳眼镜,会有一部分的光反射回来(所以你可以从别人的太阳眼镜中看到自己的影像);一部分会穿透(所以你自己戴着太阳眼镜才看的到外面);一部分被镜片吸收(所以才叫太阳眼镜)。反射、穿透及吸收便是光打在材料上会有的反应,三者能量总和等于入射光 [註1]。
金属遇到电磁波的反应,本文举银(Ag)为例,日常生活可做为镜子,是因为可见光打在银上约有 99% 被反射,1% 消耗在材料内部(吸收),且不会有穿透,如图2(c),这是一般对银的认知;但 x 光看到银的不太一样,如图2(a)。对波长只有 0.1 至 10nm 的 x 光来说,看到银就像看到玻璃,几乎 100% 直接穿过,反射跟吸收接近 0,所以当x光或波长更短的 γ 射线照到身上,想拿金属反射回去是白费力气;图2(b) 是个特殊波段,波长大约落在 130nm 的紫外光,当这种电磁波射到银上面时,会有一部分反射回来,一部分进到银里面被银本身吸收,穿透的量很低,此现象后面会再详加解释;图2(d) 则是无线电波打到银上的反应,几乎 99.9% 会反弹,只有小于 0.1% 在材料里损耗,在无线电波段金属可做为天线之用,可别小看无线电波 99.9% 反射跟可见光区 99% 反射的差别,无限电波用于传输时损耗要越低越好,99% 及 99.9% 的差距相当巨大。[註2]

图2

图3
●电磁波与材料表面反射、穿透及吸收的关系
光波(电磁波)从空气打到材料的行为如图3。在前段提到,电磁波照射到材料上无非是反射、穿透及吸收。更进一步讲,如果该材料为均质材料,那么反射只会发生在介面上,吸收只会发生在材料内。
看个示意的例子,图3(a)(b)假设材料为无限厚,当一道光 100% 打到材料上,在介面的光只会反射或穿过,假设 60% 穿透介面,40% 反射(R)反弹回去,那 60% 穿透光命运如何要看材料本身特性,假如材料不具备吸收能力,这60%就可以在材料内继续行走(图3(a));但假如材料具备吸收能力,这 60% 便会逐渐被吸收(图3(b)) ,吸收的多寡取决于材料本身的吸收能力。
现在又假设材料厚度不再是无限大,假设材料不具吸收能力,这道穿透介面的光便可以穿透整块材料,像遇到玻璃一样(图3(c));但如果材料具备吸收能力,就要看材料厚度,若够厚把光都吸干,材料背后便不会透光;但如果材料很薄,就会吸一部分,一部分穿透,像太阳眼镜一样(图3(d))。 [註3] 图2的例子皆是假设有限厚度。
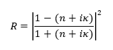
●如何决定在介面上多少反射多少穿透
决定光在介面行为的是折射率 (refractive index):就是国中理化告诉你为什么筷子在水中会弯折的折射率。但实际上折射率是一个复数 n+ iκ,实部大家比较熟,空气为 1、水为 1.33;虚部κ为材料的吸收系数,决定材料的吸收能力(为什么中学没提过?因为水跟玻璃在可见光几乎不吸收,κ 趋近 0)。
一道电磁波从空气打到材料上,在介面上反射的多寡必须遵守[註3]:

这里我们不讨论复杂的数学,但仔细观察这个式子可以发现,若是(n+ iκ) 越接近 1,R 便会接近 0 (分子1-1=0);若是 (n+ iκ) 跟 1 差很多,R 就会很大,大部分的光会反射。没有反射的光就会穿透介面,进到材料之中(至于吸收与否是材料内部的事,此公式只描述介面上的反射)。举个例子,玻璃在可见光波段的折射率大约为 1.4 + 0i,R 很小,材料又不吸收,所以接近透明;银为 0.05+3.13i,光打在银上大部分会反射。虽然银的 κ 很大(3.13),代表吸收能力强,但因为反射率高,99%被反弹回来,光根本进不去,材料吸收也就无用武之地。所以一个材料要像太阳眼镜具吸收能力,(n+ iκ) 不能跟 1 差太多,但 κ 又不能太小,例如 1.07+1.21i。(一般来说 κ 接近 1 已经是很强的吸收材料了)。
拉拉杂杂介绍了这些行为后,(下)将会更深入介绍金属遇到各种不同波段电磁波的反应及成因。
[註1] 若遇到非线性光学,这句话有可能不成立。
[註2] 适用于天线的原因还包括长波长时较佳的导电率及极浅的 skin depth
[註3] 事实上这里还必须考虑第二个介面的反射
[註4] 此公式仅适用于从空气且垂直入射

!评论内容需包含中文