若回顾古代人类历史,无论观察到哪个文化,数字3总是会出现,且极重要。
因为与3相关的一切实在是太重要了,所以3会出现在宗教、建筑、数学及种种人类活动的领域里。
神话故事里,名为三宿命的全能者掌控了神与人的祸福。世界各地各样文化长期以来有个共同信念:3代表着神的、圣的、奥秘的、万有适用的什么。
西元前6世纪,希腊数学家兼哲学家毕达哥拉斯提出了著名的定理:A平方 + B平方= C平方。毕达哥拉斯公式解释了直角三角形三个边的数学关系,研究人员普遍认为这个公式原初是为了设计埃及金字塔而产生。根据研究,毕达哥拉斯就教于“埃及伟大导师”,并将知识和智慧从埃及带到希腊,促成希腊哲学的诞生。
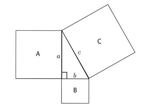
毕达哥拉斯定理是在谈直角三角形,如图1所示。直角的对边是最长的边,称为“斜边”。
图1. 一个标示斜边的直角三角形。
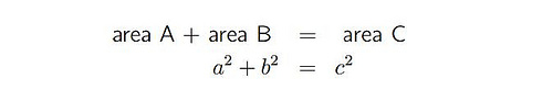
定理描述的是:以斜边为边长之正方形的面积等于两个以较短边为边长之正方形面积的总和。图2显示了在斜边上和两个较短边上的正方形。定理告诉我们:面积A + 面积B = 面积C.
图2. 一个直角三角形,每个边上都有一个以其长度为边长的正方形
如果我们标示三角形的边长为:a、b、c,那么面积A = a²;面积B = b²;面积C = c²。使用毕氏定理,可得:
动画展示:利用四个全等直角三角形排列重组所做的证明
对毕达哥拉斯和许多古代哲学家来说,数学是解释超自然事物的可行方法。许多科学家和发明家,包括美国发明家兼物理学家尼古拉‧特斯拉都极其重视3这个数字。毕达哥拉斯教导说,宇宙中万事万物都有“三分结构”,他还说宇宙中的每个问题都可以简化为三角形和数字3。
对毕达哥拉斯和其追随者而言,三角形代表提升;而三角形和数字3,是宇宙间隐藏之秘的关键。但毕达哥拉斯并非发现数字3重要性的第一人。毕达哥拉斯从埃及人习得知识,埃及人声称他们的知识直接来自“诸神”,而非地上。所以,埃及人是通过地球以外的存在 –“诸神”– 得到这个讯息的。
毕达哥拉斯确实是第一个在埃及以外地区传播这种知识的人。大致上,开始对外说明这些来自“诸神”的、神的或圣的知识是什么。这是事实,毕达哥拉斯三角形可能包含某种我们还不理解的智慧:现实的地表几何,怎么连接到我们这个世界以外的领域去?而,这个领域,可能与我们的同时存在。
查看更多解释毕氏定理的PDF档
所有活的有机体主要仰赖三种非常大的分子进行一切生物功能。这些分子是去氧核糖核酸(DNA)、核糖核酸(RNA)和蛋白质,这三者归类为生物大分子。没有去氧核糖核酸、核糖核酸和蛋白质,任何已知的生命形式均无以生存。简言之:去氧核糖核酸制造核糖核酸,然后,核糖核酸制造蛋白质。
1966年,科学家宣布了科学的最大突破,他们成功地解译了遗传密码。经过多年研究,科学家发现去氧核糖核酸是由一系列称为三联体的三分子结合物所构成。遗传密码是由三英文字母拼出的“指令”所组成,这个指令叫做密码子。密码子则是由三个核苷酸(例如:ACT,CAG,TTT)的序列所形成。这使得数字3非常重要,可以说它显示出我们生存的关键,是理解去氧核糖核酸复杂语言的关键。
去氧核糖核酸是核酸。核酸、蛋白质、碳水化合物一起构成所有已知生命形态必需的三种主要大分子。
建于4000多年前的这群纪念建筑可说是世界上名声最响亮的,这些建筑采取了对三角形最恢弘的运用,最简单、最“完美”的几何形式。古埃及文明可能是地球上首先会使用几何、数学和建筑,并以特殊且缜密的方式整合起来的文明之一。这个整合使古埃及得以建造出考古学和科学都难以解释的纪念建筑。
三角形是形状的基础原型之一,这些原型可能恒常连结于人类意识之中,所以会找像金字塔这样的纪念型建筑,藉之表达出来。
17世纪最具影响力的科学家之一,艾萨克‧牛顿爵士,提出了现代物理的基础:三大运动定律。但是许多人不知道的是,牛顿是个非常神秘的人,对炼金术极感兴趣。在他关于哲学、天文学和数学的文件中找到一份古代文件“翠玉录”(The emerald tablet)的英文翻译。这份古代文件又称为艾默拉德石板(Smaragdine Table;Tabula Smaragdina),数百年来令炼金术士心醉神迷。据信,这块祖母绿石板是记载着炼金术的实作技术和宇宙奥秘的几块石板之一。
翠玉录的拉丁文本,来自1541年在纽伦堡出版的【炼金术】,作者:Chrysogonus Polydorus
据说,翠玉录涵括全天下的知识。古老的炼金智慧、宇宙和长生之秘。某些研究者认为,这些石板是在千年大金字塔中被发现的。其中一片上的一段话,吸引了我的注意:“3是伟大的奥秘,来自伟大的那位”,所以,基本上,是“3”连接了宇宙和宇宙的秩序。
智慧、意识的知觉和力量都来自3的交互作用。
如果任何人获得这个知识,那人将成为生命的主人,超越死亡的主人,某种超自然的存有,一个几乎可以实践任何事的超人。
在艾萨克‧牛顿爵士的炼金术文稿间发现的翻译,现存于剑桥大学的国王学院图书馆。
1.此实无虚,确切且最真。
2.居下者如居上,居上者同居下,是成唯此太一之奇。
3.太一调和,于是万物从太一以存以彰。是以,物配太一,则得从其而生。
4.日为其父,月为其母,风揣怀之,地抚育之。
5.世间万全之父在此。
6.当其化为地土,其力量与权势得完全。
7.分土离火,从粗萃精,是美善大工。
8.其由地入天,复降于地,承物优上低下之力。
9.藉此法,汝得天下荣光,
10.暗晦退散。
11.其力胜众力。克诸精微,贯透坚实。
12.是天地为创。
13.由此存并行,得可叹配适,此法(或做“历”) 在其中。
吾乃三至大之赫密士,天下哲学三分,吾俱有。
此三,吾所谓太阳运作之成与终。
伟大的梵天(God Brahma)创造万物,毘湿奴(Vishnu)维护现实,而湿婆(Shiva)负责毁灭。世间不能只有更新和不断生长而没有破坏,所以,原则上这3个“神”保持一定的平衡。
印度教中,湿婆的画像常配有三叉戟,以代表他的三个主要力量:意志、行动和知识。在他的额头中间也常绘有第三只眼。用这只眼,他可以看穿一切事物,是通天眼。
1820年的拉吉普特族画作:湿婆像一家之主,跟妻子雪山女神在一起。
湿婆被描绘成有第三只眼,就在前额中央,两眼之间。据说,当他的“第三只眼”打开,会射出高能,洞察一切,某种程度上与宇宙秩序协调一致,与宇宙频率合一,达成完美的和谐。在古印度和亚洲,也有许多其他文化叙述到拥有第三只眼的生物,所以在世上,这绝非不寻常之事。第三只眼被认为是该生物精神力量的核心。
湿婆有祥和与恐怖的千种变相。处于最高级状态的湿婆是无限、超越实相、不变和无形的。祥和的形象中,他被描述为一个无所不知的瑜珈修行者,在吉罗娑山上过着禁欲的生活。且是一家之主,跟妻子雪山女神和他的两个儿子象头神与室建陀住在一起。暴戾一面,则是经常有他屠杀恶魔的描述。湿婆也被认为是瑜伽和艺术的守护神。
共济会的实际活动中有个常态概念,就是说,双方只能通过添加第三者 — 姑且称为“中心结构” — 才能找到平衡。中心结构常被描述为“第三只眼”。
世界上最壮观的佛教石窟艺术位于中国河南的伊水岸边,那里有超过1300个古老的洞穴,是已知年代可追溯到西元493年左右的龙门石窟。其中一尊雕像,比其它10万多尊更大 – 卢舍那大佛,两侧各有一位菩萨脇侍。卢舍那大佛的法身是毘卢遮那佛,与此二菩萨合称为华严三圣。三力通常以神圣甚或奥秘的方式呈现,而华严三圣的形象是特例,他们教导、帮助一个人达到更高层的觉知、平衡与和谐。
大乘佛教中,三圣是:阿弥陀佛,即无量光佛,和他两位胁侍,一为“大勇”,一为“大悲”。不管到哪里(据我们所知)每每研究古代人类历史时,神祇常以三位一组的形式出现,三个特质都是获得平衡与和谐所必需的。
阿弥陀佛在过去世中,据信是个放弃王位且发了四十八愿的国王。这些愿是要创造弥陀净土。某些研究认为,西方净土存在于受时间和空间限制的“凡常”范围之外。
三智者的旅程可能是关于耶稣基督诞生最受欢迎、最有名的故事之一,但对神秘的“三智者”几乎没什么确切的了解。福音书上记载,三王或三智者来自东方,当时西方人认为世上一切不可思议和神秘人事物的起源地,一个“朦胧之域”。Magi这个字,原义是波斯的祆教祭司,其历史可追溯到西元前两三千年。这些人,这些Magi,对天文学和天体运动非常感兴趣,他们是天文学家。根据历史,三智者千里跋涉到“圣地”,他们不用地图,只跟着一颗星就找到伯利恒(白冷城)。这里告诉我们:把三智者引到伯利恒的“明星”一路移动。实际上,我们知道星体不会像这样不规则地在天空运行。我们得问,导引他们到耶稣基督诞生地的,到底是什么东西?
“三王”送给耶稣基督的礼物有金子,代表这孩子一生中必要的物质需求;乳香,一种古老的芳香树脂,用来薰香显然对心智扩张和开悟很有效;还有没药,与死亡相关的古代油脂,用于为来世做准备的尸体防腐。问题是,为什么只有这三个礼物?
开启数字3力量的关键理论在圣三的奥秘里:一个神,包含三个对应到三种存有状态的圣者。
1.圣父上帝是智能自我。
2.圣子上帝是身体自我。
3.圣灵上帝是灵里渴望的理想自我。
是什么使数字3重要到遍布于数学、哲学、宗教、工程学和现世的一切领域之中?数学家、哲学家、营建者和炼金术士向来比其他人对3更加着迷,3是神圣数字吗?3真的是通往更高层意识的入口吗?

!评论内容需包含中文